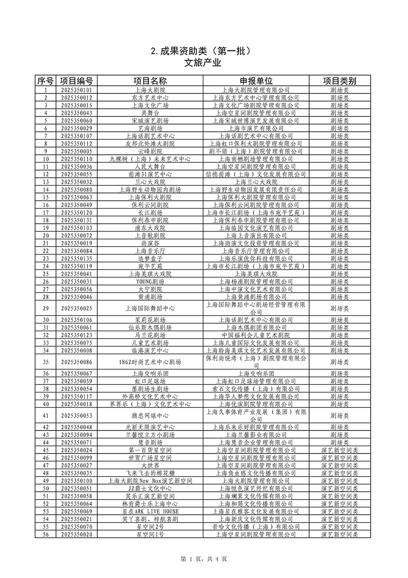
2025年上海市促进文化创意产业发展专项资金拟支持项目(第一批)公示
为推进本市文化创意产业发展,根据《上海市促进文化创意产业发展专项资金管理办法》和《2025年度上海市促进文化创意产业发展专项资金项目申报指南》,我办会同相关部门开展了2025年上海市促进文化创意产业发展专项资金项目评审工作。现将2025年拟支持项目(第一批)予以公示,公示时间为2025年9月19日至9月25日。公示期间如有异议,请提供相关材料并签署实名根据申报类目报送至市文创办或市文旅局。
联系人:
颜林铭、黄佳宁(市文创办)
余菲菲(市文旅局)
地 址:
常德路800号14号楼(市文创办)
大沽路100号(市文旅局)
电 话:
1、在建扶持类、产业研究类项目:
32509317-807/808
2、成果资助类项目:
①市文旅局:
演艺:23118161
艺术品:23118166
电竞:23118157
文化消费与文创产品开发:23118170
动漫:23118172
网络视听:23118231
文化服务出口贸易:23118172
②市文创办:
设计创新与时尚消费,文创园区、示范楼宇和空间,文创金融服务:32509317-807/808
传 真:
32509319(市文创办)
63367110(市文旅局)
电子邮箱:
shwcbgs@126.com(市文创办)
shwhcy@126.com(市文旅局)
上海市文化创意产业推进领导小组办公室
2025年9月19日
在建扶持类





成果资助类



















产业研究类
